算法——回溯算法
回溯算法的基本思想:实际上是一个类似枚举的搜索尝试过程,主要是在搜索尝试过程中寻找问题的解,当发现不满足求解条件时,就“回溯”返回,尝试别的路径。是一种选优搜索法,按选优条件向前搜索,以达到目标。
回溯算法经常以递归的方式实现,用来解决以下3类问题:
- 决策问题:从众多选择中找到一个可行的解决方案;
- 优化问题:从众多选择中找到一个最佳的解决方案;
- 枚举问题:找出解决问题的所有方案。
经典问题有:N皇后问题,迷宫问题等。
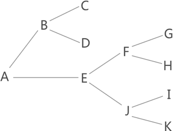
找到从A到K的行走路线
解题思路:
所谓“回溯”,其实就是回退、倒退的意思。仍以图 1 为例,回溯算法查找从 A 到 K 路线的过程是:
- 从 A 出发,先选择 A-B 路线;继续从 B 出发,先选择 B-C 路线;到达 C 点后发现无路可选,表明当前路线无法达到 K 点,该算法会立刻回退到上一个节点,也就是 B 点;
- 从 B 点出发,选择 B-D 路线,达到 D 点后发现无法到达 K 点,该算法再回退到 B 点;
- 从 B 点出发已经没有新的线路可以选择,该算法再次回退到 A 点,选择新的 A-E 路线;
- 继续以同样的方式测试 A-E-F-G、A-E-F-H、A-E-J-I 这 3 条线路后,最终找到 A-E-J-K 路线。
回溯算法的经典应用
迷宫问题
迷宫问题是指:在给定区域内,找到一条甚至所有从某个位置到另一个位置的移动路线。如下图:在白色区域内找到一条(甚至所有)从起点到终点的路线。
解决思路:
- 从当前位置开始,分别判断是否可以向 4 个方向(上、下、左、右)移动:
- 选择一个方向并移动到下个位置。判断此位置是否为终点,如果是就表示找到了一条移动路线;如果不是,在当前位置继续判断是否可以向 4 个方向移动;
- 如果 4 个方向都无法移动,则回退至之前的位置,继续判断其它的方向;
- 重复 2、3 步,最终要么成功找到可行的路线,要么回退至起点位置,表明所有的路线都已经判断完毕。
1 | // 用 1 表示白色区域,用 0 表示黑色区域。 |
输出:
成功走出迷宫,路线图是:
Y 0 Y Y Y
Y Y Y 0 Y
1 0 0 Y Y
1 0 0 Y 0
1 0 0 Y Y
N皇后问题
N皇后问题源自国际象棋,所有棋子中权力最大的称为皇后,它可以直着走、横着走、斜着走(沿45度角),可以攻击移动途中遇到的任何棋子。N皇后问题的具体内容是:如何将N个皇后摆放在N*N的棋盘中,使它们无法相互攻击。如下图所示。
解决思路:
要想使 N 个皇后不相互攻击,应将它们放置在不同的行、不同的列、还不能位于同一条 45°(或 135°)角的斜线上。
回溯算法解决N皇后问题的具体思路是:将 N 个皇后逐一放置在不同的行,以“回溯”的方式逐一测试出每行皇后所在行的具体位置,最终确定所有皇后的位置。
1 | internal class Program |
输入:4
第 1 个解为:
xxQxx
xxxxQ
xQxxx
xxxQx第 2 个解为:
xxxQx
xQxxx
xxxxQ
xxQxx共有 2 种摆放方式
评论





